La Croissance exponentielle peutêtreobservéedans la nature lorsque les ressources sontexcédentaires。Elle secaractérisepar Unaux de Croissance常数(μ)。Le Taux de Croissance d'une人口Qui Cro-deManièreExponentielle peutpeutTeTretdéterminéàPartirde la pentir de la pente du la pente dutracédutracé对数suivant:

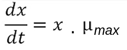
La Croissance Cellulaie ExponentiellePeut®décriteparl'équationsuivante:

sachez que la variation de la Biomassedépendde sa浓度。L'Intégrationde la Formule donne ce Qui ut ut:

Comme Vous Pouvez levoirà部分,μ最大限度peutêtretretrevédanuntracédeln(x)en fonction du temps。Le Point D'D'CETracéSeraln(X0),et la penteseraμ最大限度,Également上诉上诉人coissancespécifiqueMaximal。
Le Temps de tublement des Culules est le temp qu'il faut pour pour pour pour la la la de la biomasse double。ilpeutêtrecleculé-l'aide de la formule ci-dessous:

阿布雷维亚
X:浓度纤维素(G L-1)
t:温度d'孵化(h)
μ:Taux de Croissancespécifique(h-1)
Xo:浓度纤维素au tempszéroou taille de l'eculum(h)
t2:温度双纤维纤维