In the microbial aspect, stoichiometry defines the quantitative relationship between substrates and product of microbial processes, including biomass formation.
Black box modeling
In the black box model, the input and output of the system are analyzed instead of the processes inside the system itself. All the chemical reactions that occur within the cells are neglected, and the whole fermentation process is viewed as one single reaction, where substrates are converted to biomass and products.

In general, only the most important substrates and products are regarded. For example, for yeast cells, the general stoichiometric equation would be as follows:

The coefficient in front of every compound is the yield coefficients. That is the ratio between the change in compound j and the change compound i.

In exponential growth, there is a linear relationship between substrate consumption and product formation. The yield coefficient will thereby be constant, which can be calculated as the slope in a plot of the product versus substrate.
In general fermentation, substrate is consumed and biomass and a product are formed. Plotting biomass over substrate shows a linear curve, with Ysxas the slope.

Carbon balance and cmol
For carbon balance (or any elemental balance in the fermentation for that matter), the general stoichiometric equation is used. All the compounds that contain carbon are taken into account:

Because only the elemental contribution of biomass and not the specific molecular formula is known, the units are changed to cmol. Relative to cmol, the general composition in the microorganism is CH1.8O0.5N0.2. When converting to cmol, the molecule and the molecular weight are normalized to the carbon content. For example, glucose(C6H12O6) having the molecular weight of 180 g/mol in cmol is CH2O, and it has the molecular weight of 30 g/cmol (simply the original molecular weight divided by the number of carbon atoms). The yields coeffcients can be converted from g/g to cmol/cmol.

After converting the units to cmol, the carbon balance is as follows:

The carbon balance is a good method of controlling the fermented microorganisms. If the carbon balance does not close, there is a lot of unaccounted carbon, which means unknown byproducts are being produced.
Molecular weights
以下元素分子量usefull when calculating the molecular weights of the organic substances:
Mw (Hydrogen) = 1 g/mol
Mw (Carbon) = 12 g/mol
Mw (Nitrogen) = 14 g/mol
Mw (Oxygen) = 16 g/mol
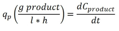
The simplest term for productivity is the volumetric productivity, called q, and it is the amount of product formed per time per volume.

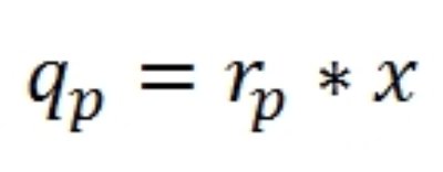
If one wants to compare the production rate of two different microorganisms, one would have to consider that the growth rate of the two organisms could be different. The specific productivity, called r, is the amount of product formed per time per g DW. It can be calculated as follows:

The specific productivity is both dependent on the yield (how much product is produced in relation to biomass) and how fast the cells are growing(how much biomass is generated) It is related to the volumetric productivity with the concentration of biomass.

The volumetric production is dependent of the biomass concentration. In batch fermentation the biomass concentration is growing, and so the productivity is not constant. If one want to make an estimate over the overall volumetric productivity it is calculated as the maximum product concentration, divided by the time to reach that concentration.
Often, there is a tradeoff in productivity and yield. Better yield makes the process cheaper (less substrate is needed to form same amount of product), but higher productivity means faster production and thereby smaller production facilities. As a rule of thumb, yield is most important for low-value products (e.g., bulk chemicals) and productivity is most important for high-value products (e.g., pharmaceuticals)
Abbreviation
x: concentration of biomass produced
DW:测量生物量干重
Y: yield factor
SR: initial substrate concentration
s: residual substrate concentration
p: concentration of product
qp: specific rate of product formation (mg product g-1biomass h-1)
Yxp: yield of product in terms of biomass (g product g-1biomass)