Les bases puriques et pyrimidiques desacides nucléiquesabsorbent fortement les rayons UV. Les rayons UV peuvent être classés en trois groupes en fonction de leur longueur d'onde : UV-A (315-400 nm), UV-B (280-315 nm) et UV-C (280 nm). Les rayons UV de plus grande longueur d'onde (UV-A et UV-B) affectent l'ADN de manière significative.
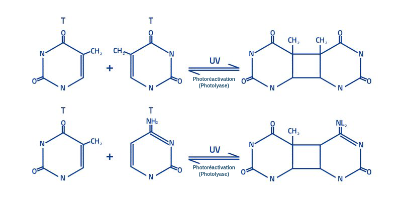
Les deux principales lésions de l'ADN induites par les rayons UV-A et UV-B sont les dimères de cyclobutane-pyrimidine (CPD) et les photoproduits 6-4 (6-4PP). Ceux-ci entraînent des distorsions structurelles qui conduisent finalement à des arrêts de réplication et à des cassures double-brin.

图1:Les UV induisent le dimère des nucléotides.